Flüchtlingsunterbringung: Landrat Roland Grillmeiers Appell an die Solidarität
Flüchtlingsunterbringung: Landrat Roland Grillmeiers Appell an die Solidarität
Es war zwar noch kein verzweifelter Hilfeschrei, den der CSU-Politiker beim Pressegespräch zur Unterbringungssituation für Asylbewerber und Flüchtlinge am Mittwoch im Landratsamt ausstieß. Aber als deutliche Warnung konnte man es schon auffassen. “Wir nähern uns einem Punkt, an dem es kritisch wird”, betonte Roland Grillmeier. Die Unterbringung stelle den Landkreis vor enorme Herausforderungen. Der Landrat rechnet künftig mit circa neuen 50 Asylbewerbern monatlich. “Es können weniger, aber auch mehr werden.” Weil feste Unterkünfte knapp werden, will man “als letzte Option” ein 20 mal 50 Meter großes Zelt anmieten. Dafür suche man allerdings noch einen geeigneten Standort.
Für das Gespräch hatte sich Grillmeier Unterstützung aus seinem Amt geholt: Judith Sollfrank, Jürgen Besold und Rainer Fladerer vom Sozialamt, Juristin Nina-Katharina Haller, Martin Thoma vom Bauamt und den Integrationslotsen David Reinschke.
Unter einem Prozent
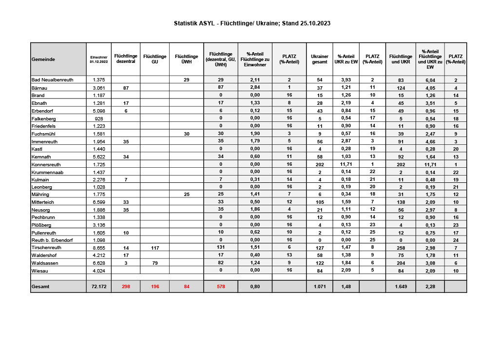
Der Landrat gab die aktuellen Zahlen bekannt. Insgesamt lebten derzeit 1649 Flüchtlinge im Landkreis, davon 1071 Ukrainer/innen, die circa 1,5 Prozent aller Asylbewerber ausmachten. Der Rest der Flüchtlinge bewege sich unter einem Prozent der Gesamtbevölkerung. Vor allem zwei Dinge sind dem Landrat wichtig: die Solidarität der Kommunen und das Verständnis der Menschen. Sicherlich sei es nicht einfach, wenn in einem kleinen Dorf wie Hohenthan 25 junge Flüchtlinge lebten. Man könne aber in der derzeitigen Situation nicht wählerisch sein. Man strebe zwar stets eine gerechte Verteilung an, das sei aber nicht immer möglich. Deshalb sei die Solidarität der Städte und Gemeinden so wichtig.
“Quote mit Bravour erfüllt”
Im Vergleich zu den Landkreisen Neustadt/WN oder Schwandorf oder den Städten Weiden und Amberg stehe man noch relativ gut da, so der Landrat. “Die liegen teilweise 130 Prozent über der Belegungsgrenze.” Das sei aber auch der Tatsache geschuldet, “dass wir die Quote seit Monaten mit Bravour erfüllen und deshalb zuletzt etwas weniger Zuweisungen hatten”. Damit sei es aber nun vermutlich vorbei und man müsse wieder mit mehr Flüchtlingen rechnen.
Seit Monaten auf der Suche
Laut Grillmeier sei man seit vielen Wochen auf der Suche nach weiteren, geeigneten Unterkünften. “Nicht mehr genutzte Tennishallen, Pfarrsäle, Hallen. Wir haben alles angefragt, bisher leider ohne Erfolg.” Weil auch private Wohnungen kaum mehr vorhanden seien, müsse man als Zwischenlösung auf Container und das Zelt ausweichen. Während man für Letzteres noch einen Standort suche, hätten vier Kommunen, darunter Erbendorf und Plößberg, ihre Bereitschaft erklärt, Container aufstellen zu lassen. Mittelfristig könnte ein Wohnungslotse Abhilfe schaffen, den der Landkreis einstellen wolle. “Auf jeden Fall vermeiden wollen wir die Unterbringung in Turnhallen”, sagte der Landrat. “Es könnte aber schwierig werden, das einzuhalten.”
Roland Grillmeiers Appell
Sozialamtsleiterin Judith Sollfrank berichtete von recht heftigen Reaktionen aus Teilen der Bevölkerung. “Es gibt viele Anrufe ungehaltener Menschen. Leider scheinen sich dabei viele von Falschnachrichten oder Verschwörungstheorien beeinflussen zu lassen. Das macht uns die Arbeit derzeit nicht leicht.” Roland Grillmeiers Appell an das Verständnis der Menschen im Landkreis: “Es sollte sich jeder mal fragen: Habe ich schon persönlich schlechte Erfahrungen mit Flüchtlingen gemacht, hat mir ein Flüchtling schon mal etwas weggenommen?” Im Landkreis leisteten auf der anderen Seite mindestens 300 Ehrenamtliche und viele weitere “stille Helfer” im Hintergrund seit Jahren Großartiges. “Dafür kann man diesen Menschen gar nicht genug danken,” betonte der Landrat.




